2018年秋季,太平洋深处暖流向东传递至南美洲,致使位于热带的太平洋中部表层海水温度增暖并呈现持续性大范围的偏高状态。2019年2月,太平洋中东部海域偏暖依然明显,这标志新一次厄尔尼诺事件的诞生。据中国气象局统计,“监测数据表明,2019/2020年冬季全国平均气温为零下2.25℃,较常年同期偏高1.09℃,属于暖冬年份”。2020年,“厄尔尼诺”事件将在全球尺度上持续发生,赤道太平洋东部及中部海水将呈现大范围、持续性增暖现象,全球年平均气温升幅也将在2021年创下新纪录。“厄尔尼诺”现象将通过复杂的海洋——大气交互机制改变全球大气与水循环,这将导致全球陆表区域呈现更加极端性的变化。当前,在新冠肺重大疫情爆发同时,我国应提前警惕“厄尔尼诺”及全球增暖现象对我国农业病虫冻害及全国旱涝灾害的影响,主要分为三方面:1)病虫害问题2)北方农耕冻害及夏伏旱灾害问题3)南方特大洪涝问题。具体问题如下:
一、 警惕“暖冬”引发我国农业病虫害问题。“暖冬”现象将对多种农耕病虫冬前繁殖及越冬存活提供便利条件,导致农耕病虫卵在春天大量繁殖,使得全国农作物病虫害发生期提前,并将直接造成粮食减产,情势严峻。各级政府应深刻意识到近年来暖冬造成病虫害发生的新特点,特别关注暖冬对病虫灾害发生造成的影响,及时准确的预报并公示,以期尽快制定防治方案,准确指导病虫害防治。在病虫害防治过程中,要增强环保意识,使用低毒农药,积极应用推广新农药器械,改善施药方式,提升防治效率。
二、 警惕我国北方农耕冻害及夏伏旱灾害问题。2019年,虽然全国降水量较常年同期偏多,但从冬季来看,包括黄淮海地区、河北、云南中部、新疆等地区降水量仍然偏少。此外,加之“暖冬”气温升高及土壤水蒸发增加等因素综合影响下,导致我国北方冬季土壤水含量大幅度下降,这对我国农业今年春耕及春播将造成直接影响,并进而影响作物出苗率及生长率。由于“暖冬”现象引发的2020年3月中下旬华北大部、东北和西北地区由于“倒春寒”现象将出现新一轮大范围降温及降雪天气,这将进一步引发部分地区农作物发生冻害及次生灾害(应特别警惕“倒春寒”现象导致我国西北、东北地区的阶段性低温降雪天气及后期升温后的突发型融雪洪涝灾害),并最终将导致我国农产品减产。此外,由于“厄尔尼诺”引发的“暖冬”现象导致我国在2019/2020年冬季(2019年12月1日至2020年2月29日)暖湿气候显著,全国平均气温为1961年以来同期第五高。这将导致我国东北地区西南部、华北、黄淮海地区及西北等地区在今年7至8月将可能出现严重的“夏伏旱”现象。过去几年里,华北平原在夏初时节连续发生的高温热浪现象可能间接印证了今年华北、黄淮海地区及西北地区“夏伏旱”现象发生的可能。为此,东北地区应加强土壤商情监测,重点抓好抗旱造墒播种,做好抗夏伏旱准备。华北及黄淮海地区应积极开展麦田作物的测墒节灌,促进灌浆工作。西北地区应加强水肥管理,春播区应加快播种,注意防范区域性干旱。为此,农村农业部应积极针对以上问题加强对农耕区的农业指导工作。
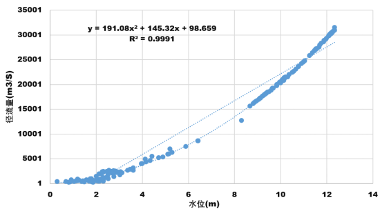
三、 警惕我国南方特大暴雨性洪灾。南方雨季后土壤含水量将增大,受“厄尔尼诺”现象及全球快速升温综合影响,预计2020年6至8月前后,南方大部将发生持续大范围超强降水并引发暴雨性超大洪灾。经测算,福建闽江流域 (图1)在2020年6月将可能发生超过1992年的超大洪水(今年,闽江流域竹歧水文站预计洪峰将达32000m3/s或以上,竹歧水文站水位线最高将超过12至13米或以上(图二))。此外,应倍加警惕南方的持续性大范围暴雨将导致福建地区、海南地区、珠江流域、黄河下游、淮河流域及长江中下游流域在汛期可能发生特大型洪水。其中,长江三峡6至8月前后入库水量将迎来达65000m3/s——70000 m3/s及以上的大型洪峰过程。

图一、闽江流域地形图及水文站分布

图二、闽江流域竹歧站径流量与水位相关预测分析(2020年6月)
为此,水利部应提前召开会商会,对以上重点区域及其他潜在区域应保证实时巡查与防守,应倍加关注可能的洪水爆发区水库安全度汛等工作。各部门应提前启动水旱灾害预防应急响应,提前加强水工程科学调度、抢险技术及监测预警预报工作,及时将一线险区信息及舆情信息报送至国家防汛抗旱指挥部并统一发布。
孟现勇副教授,中国农业大学资源与环境学院
二〇二〇年二月二十日
